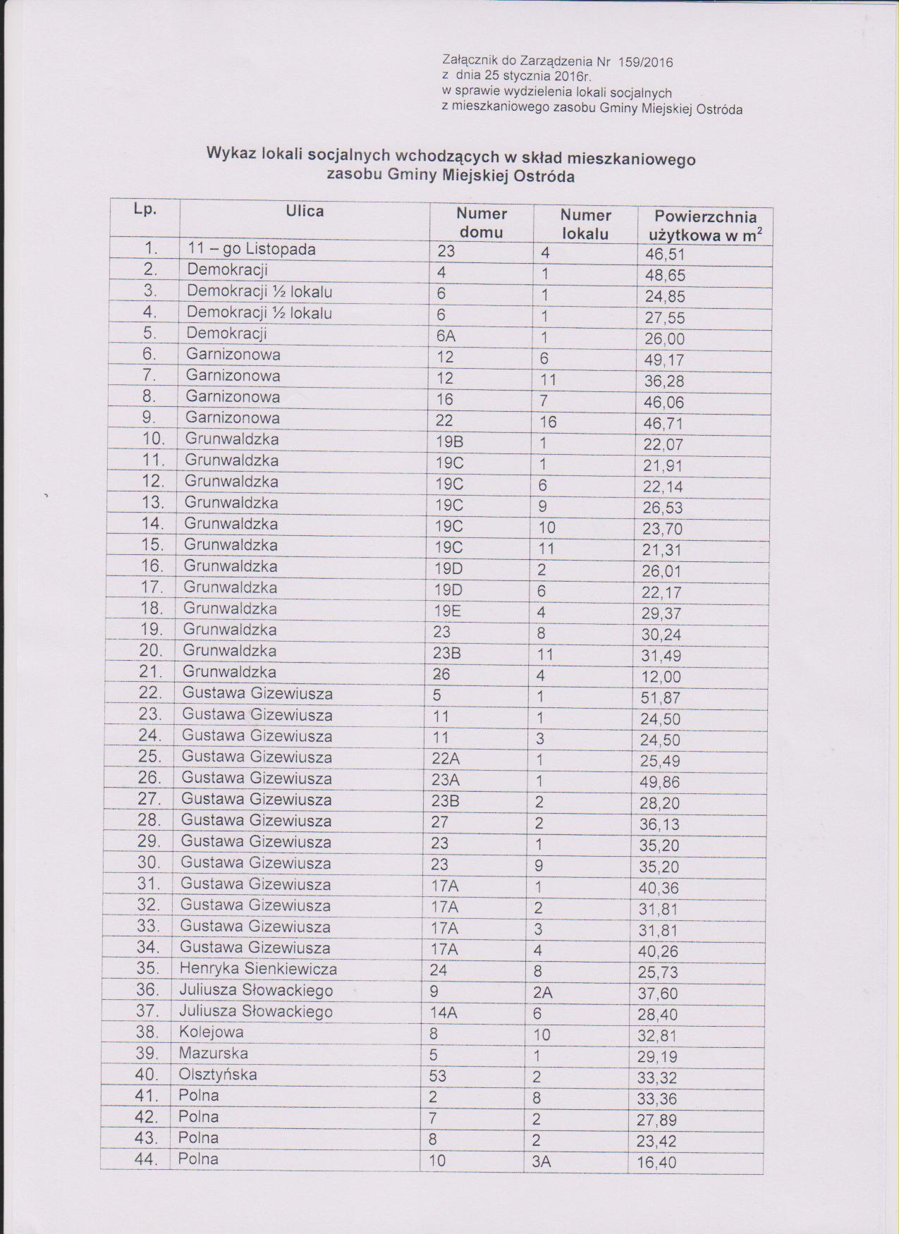
Zarządzenie Nr 159/2016 Burmistrza Miasta Ostródy z dnia 25.01.2016 r., w sprawie wydzielenia lokali socjalnych z mieszkaniowego zasobu Gminy Miejskiej Ostróda
Biuletyn Informacji Publicznej Gmina Miejska Ostróda
Zarządzenie Nr 159/2016 Burmistrza Miasta Ostródy z dnia 25.01.2016 r., w sprawie wydzielenia lokali socjalnych z mieszkaniowego zasobu Gminy Miejskiej Ostróda